徐州市发布暴雨强度公式及雨型
为进一步提升城市排水防涝治理能力,市水务局组织修订了徐州市暴雨强度公式及雨型,目前已通过专家组评审。经市政府批准,现将修订后的公式及雨型发布如下:
1.暴雨强度公式

式中:i为降雨强度(mm/min);t为降雨历时(min);T为重现期(年)。
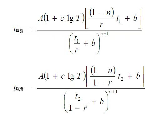
2.设计暴雨雨型
采用芝加哥雨型确定设计暴雨雨型:

式中:i为瞬时雨强(mm/min);t1为峰前时间(min);t2为峰后时间(min);A、c、b、n为暴雨强度公式参数;T为重现期(年);r为雨峰位置系数。
(1)历时为120min时:
A=16.261,c=0.679,b=17.1,n=0.707,r=0.420
(2)历时为180min时:
A=16.261,c=0.679,b=17.1,n=0.707,r=0.439
新公式及雨型主要适用于徐州市中心城区,周边地区可参照使用;新公式及雨型自发布之日起启用,原公式及雨型同时废止。
