生物炭复合改性高密度聚乙丙烯填料的制备及对污水处理硝化过程强化研究
李莹1,凌宇晔1,刘雨晗1,闫力仁1,范秀磊1,2*
(1.徐州工程学院环境工程学院,江苏 徐州,221018; 2江苏涤清环保科技有限公司,江苏徐州,221111)
摘要:传统生物膜工艺在废水处理中的实际应用往往受到载体生物亲和性差、挂膜启动慢等问题的阻碍,导致生物膜难以形成、生物量低,进而影响处理效率。为解决这些局限性,本研究开发了一种以高密度聚乙烯(HDPE)为基材,掺入生物炭、斜发沸石及聚季铵盐-10的新型复合生物膜载体。通过生物膜反应器试验探究填料的硝化性能,并分析填料中微生物群落的功能与结构。结果表明,与原始HDPE载体相比,生物炭复合载体显著提高了铵态氮的去除率,在DO为8.0 mg/L和2.0 mg/L条件下,去除率分别提高了约7%和8%。表征分析证实,生物炭的加入显著增加了表面粗糙度,而复合改性则明显增强了亲水性和表面电荷。更重要的是,微生物群落分析揭示,改性载体表面成功富集了以硝化螺旋菌属(Nitrospira)、亚硝化单胞菌属(Nitrosomonas)及多种反硝化功能菌为核心的高多样性微生物群落,关键氮代谢通路得到强化。本研究从“工艺性能—材料性质—微生物机制”三个层面证实,生物炭-复合材料改性载体能为硝化菌的附着和生长提供有利环境,从而提高污水系统的硝化反应效率为低碳节能污水处理技术提供了有前景的解决方案。
关键词:生物膜反应器;生物碳复合填料;硝化反应;微生物群落;废水处理
0 引言
生活污水主要来源于城市日常生活用水,包括厨房洗涤,卫生间盥洗等,其中含有较高浓度的有机污染物以及氮、磷等无机元素,若未经妥善处理就直接排放,则会对水体、土壤等环境造成严重危害[1-3]。目前,我国多数污水处理厂采用AAO法、SBR法、氧化沟法及生物接触氧化法等工艺[4-6],但是存在能耗高,脱氮效率相对较低,运行管理复杂,占地面积大且设备维护难等问题[7]。
生物膜法作为一种新型的水处理技术,原理是微生物在填料表面附着生长,并通过分泌的胞外多糖物质形成稳定生物膜结构,从而实现对污染物的降解[8, 9]。 然而,在实际应用中,该技术仍存在挂膜启动慢、传质效率低、易发生堵塞以及碳源供应不稳定等问题[10, 11]。
其中,填料作为生物膜技术的核心组成部分,其性能直接影响处理效果[12]。传统的填料主要包括沸石、陶粒等无机材料或者是聚烯烃、聚氨酯和聚氯乙烯等有机生物材料[13]。近年来,研究人员致力于通过表面改性生物膜载体,提高其生物亲水性和功能,以期开发成本更低、脱氮效果更好的填料[7, 14]。例如,玉米秸秆生物炭不仅具有来源广泛、成本低廉的优势,而且亲水性高于普通填料。在此基础上,引入不仅对氨氮具有良好吸附作用的斜发沸石还能进一步增强其亲水性[15, 16];而聚季铵盐-10(PQAS-10)作为一种永久带正电且不受pH影响的阳离子聚合物,能够利用电荷抵消机制改善填料表面电荷特性,从而达到促进微生物附着生长的效果[17, 18]。
基于上述背景本研究拟以玉米秸秆生物炭为主要原料,结合斜发沸石与PQAS-10等材料,拟开发三种新型改性生物炭填料,并将其分别投放于生物膜反应器中。通过调节溶解氧(DO)浓度,考察其硝化效果差异,以期为高能耗污水处理技术的发展提供可行方案和技术参考。
1 材料与方法
1.1 试验装置与运行
本试验所使用装置为圆柱形有机玻璃制成的生物膜反应器(图 1),有效容积为1.2 L,水力停留时间(HRT)为8 h。此装置内投放填料,底部由曝气盘均匀曝气,装置通过阀门控制进水和出水,模拟废水通过蠕动泵从底部连续进入装置内,从上方流出。避免运行过程中载体上脱落的生物膜絮体堆积堵塞在进水口造成装置运行不畅,因此在底部设置多孔挡板,挡板与反应器底部之间容积约为0.2 L。

图 1 反应器实体示意图
1.2 污泥接种及试验用水
试验使用的活性污泥取自徐州市某污水处理厂曝气池,共20 L。接种污泥之前,启动曝⽓泵,每12 h添加配制的微生物营养液驯化活性污泥,48 h。
试验用水采用模拟废水,以C6H12O6为唯一碳源,含量为56 mg/L,NH4Cl为氮源,含量为60 mg/L,NaHCO3为pH缓冲剂[19],含量为150 mg/L。配置废水C/N为3.5,COD含量约为56 mg/L,TN(以N计)含量约为16 mg/L。在试验开始运行时将反应器内的DO浓度控制在8 mg/L,在反应器运行50天后将DO改为2 mg/L。
此外,在进水中加入微量元素溶液以促进微生物的生长[20],微量元素溶液组成及质量浓度如下表 1。PH控制在7.5~8.0。
表 1微量元素表
药剂 | 含量(mg/L) |
ZnSO4 | 2.2 |
FeSO4·7H2O | 5.0 |
CaCl2 | 5.5 |
MnCl2·4H2O | 5.0 |
CuSO4·5H2O | 1.6 |
CoCl2·6H2O | 1.6 |
1.3 填料制备方法
本研究涉及三种填料的制备:以HDPE粉末为基础材料,以硬脂酸钙为润滑剂、滑石粉为填充剂。分别将生物炭粉末、斜发沸石、PQAS-10粉末按一定配比称量好后按图 2的步骤烧制成填料。

图 2 填料制备流程图
1.3 取样检测与分析方法
取样方法为每日早上十点,于反应器出水口采集10 mL水样;随后使用0.22 μm针头式滤器(YA0652-D-100/pk, Solarbio)进行过滤;所得滤液置于4°C冰箱中保存,以待后续检测。
氨氮(NH4+-N)检测方法使用纳氏试剂分光光度法测定,DO采用便携式溶解氧检测仪测定,pH值采用pH计进行测定。采用固体表面Zeta电位测试仪在pH为7.0的条件下进行载体表面Zeta电位测试,用于表征载体表面电荷量及电性,载体随机选取并做三次平行测试;采用静态接触角测量仪进行载体表面静态水接触角测试,用于表征载体表面亲/疏水性,载体随机选取并做三次平行测试。
釆用高通量测序(High throughput sequencing,HTS)的方法对填料表面生物膜中群落结构进行对比分析。具体方法如下:首先进行样品预处理,采用机械方法从载体表面剥离生物膜分别放入灭菌的15 mL试管中。适当转速离心后,留取沉淀备用。引物使用304F和805R扩增细菌16S rDNA片段的V3-V4可变区,能够准确鉴定微生物多样性。在扩增后,PCR产物在杭州研趣信息技术公司旗下的科学指南针支持的Miseq Illumina平台上测序及分析。菌群丰富度相关指数包括Shannon、Chao1、Simpson等,用Mothur软件进行计算。
2 结果与讨论
2.1 不同DO下不同填料对氨氮去除性能的影响
为了考察在正常溶解氧浓度情况下不同填料类型对氨氮去除性能的影响,本研究在DO为8 mg/L的条件下进行了对比试验[21]。采用填充HDPE填料、生物炭填料、改性生物炭填料的生物膜反应器不间断运行55天,其NH4+-N的去除效果如图 3所示,整体分为两个阶段。

图 3 不同DO下氨氮去除率对比图
阶段1(第1-20天)为适应阶段,三组反应器的NH4+-N去除率均未达到稳定状态。HDPE填料组、生物炭填料组和改性生物炭填料组的平均去除率分别为91.6%、96.6%和97.5%。该阶段填料对NH4+-N的去除率较高,可能是与取样到检测间隔较大、挂膜初期生物膜脱落并在样品中继续降解有关。值得注意的是,两组添加了生物炭的填料对NH4+-N的去除率明显比HDPE填料组高6%左右,初步证明了生物炭对硝化作用具有促进作用。
阶段2(第21-55天)为稳定阶段,改性生物炭填料组和生物炭填料组的NH4+-N去除率都稳定在97%和96%,高于HDPE填料组的91%。这结果进一步表明添加了生物炭的填料对氨氮的去除率有一定的强化效果,主要是由于生物炭表面相对于HDPE更加的粗糙,有许多的孔隙,对微生物提供更多生长代谢的场所,从而提升了生物量和代谢活性而改性生物炭填料组虽然仅比生物炭填料组的氨氮去除率高了1%,但考虑到PQAS-10的投加量较低,仍可说明其通过改善填料的表面电荷特性,进一步促进了微生物的富集。
为了探究低DO条件下的不同填料组的脱氮性能,在运行56天之后降低曝气至约2 mg/L。该时期仍可划分为两个阶段。
阶段3(第56-80天)为再适应阶段,三种填料组的NH4+-N去除率均出现下降,平均去除率分别为89.9%、94.1%、95.2%。该阶段由于DO浓度的降低,导致填料内生物膜活性下降,但改性生物炭填料组和生物炭填料组相比于HDPE填料组仍然提升了5%左右,说明加入生物炭后填料在低氧环境中具备更强的适应能力。
阶段4(第81-129天)为再稳定阶段,三种填料组的NH4+-N去除率趋于稳定,平均值分别为88.02%、93.05%、94.05%。改性生物炭填料组和生物炭填料组比HDPE填料组分别高6.06%和5.03%,且此阶段改性生物炭填料组的NH4+-N去除率效果依旧高于生物炭填料组。但是通过对比,可以发现即使是在低曝气状态下,添加了生物炭的填料组NH4+-N去除率仍旧比正常曝气状态下高。这一结果说明,采用加入生物炭的填料可在降低曝气能耗的同时维持较高脱氮效率,为污水处理厂节能降耗提供了可行路径。
2.2 填料表面理化性能表征
2.2.1 表面粗糙度(Ra)值差异分析
三组载体的Ra值如图 4所示。由图中可知,添加生物炭的两种填料的表面粗糙度均显著比HDPE填料高。其中,生物炭填料组的Ra值远高于其他两组填料,平均值为21.95 μm,表明其表面更利于微生物的附着。改性生物炭填料组的Ra值虽低于生物炭,但仍明显高于HDPE组。该差异可能是因为在制备过程中,生物炭颗粒和斜发沸石等材料在热解时相互进入对方的孔隙中,发生一些物理化学反应,导致其粗糙度略有下降[22]。

图 4 三组Ra对比图
2.2.2填料的亲水性和亲电性分析
本研究通过测定载体表面的Zeta电位和静态水接触角,分别表征其表面电荷特性与亲水性,结果见表 2。由表可知,在载体制备过程中添加PQAS-10可以有效改善填料的亲水性和亲电性,与毛彦俊 [17]、Liu, Jia and Quan [23]和Mao, Quan, Zhao, Zhang, Chen, Liu and Quan [24]等人的研究结果一致。此外,由于斜发沸石表面含有硅氧极性结构,其本身具有良好的亲水性,添加斜发沸石亦有助于提升填料的亲水性能。
表 2 填料表面性能
类型 | 表面Zeta电位(mV) | 表面静态水接触角(°) |
HDPE填料 | -19.58 | 100.215 |
生物炭填料 | -23.53 | 113.905 |
改性生物炭填料 | -19.33 | 104.585 |
从数据可以看出,改性生物炭填料的Zeta电位平均值为-19.33 mV,高于生物炭填料的-23.53 mV,表明经改性后填料表面电负性有所减弱,更利于微生物附着。在静态水接触角方面,改性生物炭填料为104.585°,较生物炭填料(113.905°)显著降低,说明其亲水性得到改善,且与HDPE填料(100.215°)接近,表明斜发沸石的加入有效增强了材料的亲水性能[17]。
上述结果表明,在填料制备过程中引入PQAS-10和斜发沸石能够协同改善填料的表面性质,不仅增强其亲水性与生物亲和性,还为微生物的附着与生长创造有利条件,进而促进硝化生物膜的快速形成[23]。此外,改性材料的添加还有助于调节填料密度,使其更接近于水,从而优化其在反应器中的流化状态。
综上所述,从结构特性角度看,添加PQAS-10与斜发沸石能够有效提升填料的亲水性与表面电性,为微生物的附着与增殖提供良好界面环境。
2.3 微生物群落分析
后续设置三个平行试验:A组为PQAS-10/斜发沸石/生物炭改性HDPE填料试验,B组为生物炭改性HDPE填料试验组,C组为填充HDPE填料试验组。为了简化表述,分别以A、B、C指代上述分组。
2.3.1 群落多样性分析
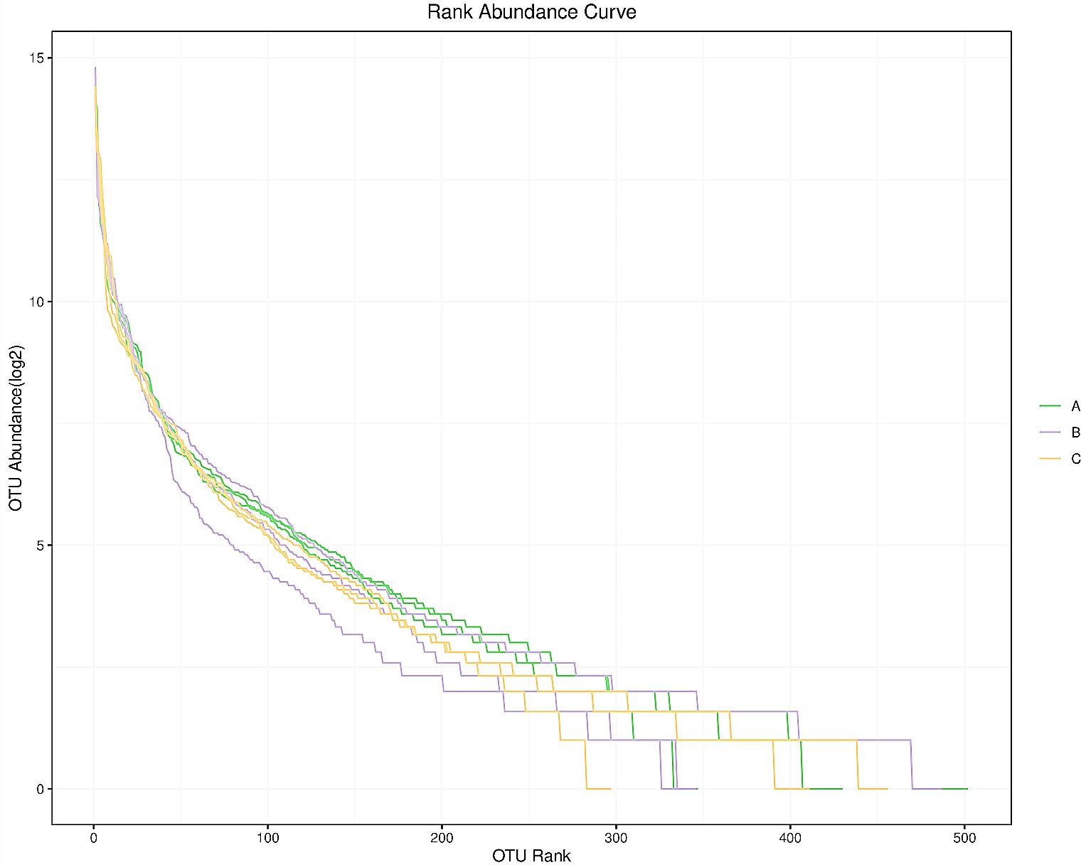
根据物种多样性数据的Alpha多样性指数图及丰度等级曲线图如图 5所示,可以看出A组在物种多样性方面表现出明显优势。Chao1指数和Simpson指数显示A组的物种丰富度高于B组和C组。尽管组间差异未达统计学显著水平,但数值层面的优势仍能体现出A组的优势。丰度等级曲线分析显示,A组在高丰度物种区域的OTU丰度显著高于其他组同时曲线下降趋势更为平缓,这说明了A组不仅拥有更多优势物种,低丰度物种的分布也更为均匀。综合来看,A组在物种丰富度、多样性及丰度分布上均展现出优于B组和C组的特征。A组物种更加丰富可能是因为PQAS-10和斜发沸石使填料的亲水性和亲电性得到有效改善,亲水性改善使填料更容易与水分子结合,促进了水分和营养物的传输效率;亲电性改善优化了电子传输路径,促进了微生物的附着;二者相辅相成,给微生物提供了更加优越的生长环境。


(a) (b)
图 5三个载体生物膜样品的Alpha多样性指数(a)及丰度等级曲线图(b)
2.3.2 群落结构分析
2.3.2.1 metagenomeSeq分析
为了更进一步的探究各组之间的差异,我们使用了metagenomeSeq方法对样本组进行两两比较,再进一步通过曼哈顿图(Manhattan plot)展示metagenomeSeq的分析结果,将A组上调,即A组微生物相对丰度较高的的物种统计于图 6中。
由图 6可知,伯克氏菌目(Burkholderiales)在A组的数量远超过B组和C组,Burkholderiales通过硝化和反硝化作用将硝酸盐还原为氮气,降解有机物提供碳源,并形成生物膜增强系统稳定性,从而高效驱动脱氮过程。而其中的核心菌属弯曲杆菌属(Curvibacter)在A组中的总菌属占比更是高达26%,这种菌属在脱氮过程中主要通过分泌胞外聚合物促进生物膜形成,为反硝化菌提供微厌氧环境,间接提升脱氮效率,尤其在低碳氮比条件下仍能维持功能。鞘脂单胞菌目(Sphingomonadales)在脱氮过程中通过降解复杂有机物产生小分子有机酸等易被硝化菌利用的碳源,从而间接促进硝化过程的进行,其在沸石改性组的数量相较于B组和C组有明显优势。而其中鞘氨醇单胞菌科(Sphingomonadaceae)在A组中的占比达16%,其在脱氮过程中主要通过好氧反硝化作用将硝酸盐还原,并降解芳香族污染物,强化污水处理系统的脱氮效能。根瘤菌目(Rhizobiales)在在沸石改性组的数量远超过B组和C组,其在脱氮过程中主要通过反硝化作用还原硝酸盐,其中部分种属还能降解有机污染物,协同提升污水处理系统的脱氮效率。而其中的代表慢生根瘤菌属(Bradyrhizobium)在A组中占比16%,其可通过反硝化作用还原硝酸盐并参与固氮过程,在土壤和水体脱氮中发挥协同作用。

(a)

(b)
图 6基于metagenomeSeq分析的差异OTU的曼哈顿图(A组上调) A-B(a)、A-C(b)
2.3.2.2 发育树分析
研究发现,变形菌门是硝化过程中最常见的菌门,广泛分布于各类水体和土壤环境中。根据系统发育树分析(图 7),相较于其他组别,A组中的变形菌门种类最为丰富。在属水平上,A组中相对丰度较高的亚硝化单胞菌属(Nitrosomonas)是一种自养型硝化细菌,能够将氨氮氧化生成亚硝酸盐。在污水处理过程中,其活性直接关系到氨氮的去除效率,是生物脱氮工艺中的关键组成部分。此外,革兰氏阴性菌属(Novosphingobium)在A组中的相对丰度也较高。研究表明,Novosphingobium属的某些菌株对脱氮过程具有促进作用。它们通过群体感应调控机制协助降解氮污染物,并在共底物竞争中缓解电子受体的竞争压力,从而提高脱氮效率。再者,属于变形菌门的CVE6(陶厄氏菌属,Thauera)具有出色的反硝化能力。在缺氧条件下,它能够以硝酸盐或亚硝酸盐为电子受体,通过异养反硝化作用将有机碳源转化为氮气并释放到环境中。CVE6在A组中的相对丰度也较高。

图 7 微生物群落的系统发育树图
3.3 代谢通路分析
丙酮酸发酵生成丁酸的通路可通过产生丁酸这种可以被反硝化菌高效利用的短链脂肪酸作为反硝化碳源,间接促进脱氮效率。由图 8可得,硝化螺旋菌(Nitrospira)在A组中的相对丰度最高,该菌是一类硝化细菌,它们能够将亚硝酸盐(NO₂⁻)氧化为硝酸盐(NO₃⁻),这是硝化过程的重要步骤。慢生根瘤菌(Bradyrhizobium)菌株具有固氮能力,其在A组中的相对丰度远高于B组、C组。未分类的鞘脂单胞菌(unclassified Sphingomonadaceae)和未研究过的细菌在A中相对丰度最高,证明A组具有较强的脱氮潜力。

图 8 丙酸发酵至丁酸酯通路图
4 结论
本研究成功制备并系统评估了两种新型生物炭基填料(生物炭填料与改性生物炭填料),并与传统HDPE填料进行对比,考察其在不同溶解氧浓度下对模拟污水中NH₄⁺-N的去除效能及微生物富集特性。主要结论如下:
(1)在DO为8 mg/L与DO为2 mg/L条件下,添加生物炭的填料均表现出优于HDPE填料的NH₄⁺-N去除率。特别是在较低DO环境下,改性生物炭填料的去除率仍显著高于DO为8 mg/L下的HDPE填料,证实其在节能降耗运行模式下仍能维持高效硝化能力。
(2)材料表征表明,改性生物炭填料通过引入斜发沸石与PQAS-10,有效改善了填料表面的亲水性和表面电荷,从而更有利于微生物的初始附着与生物膜形成。
(3)表面粗糙度分析显示,加入生物炭填料的微观结构为微生物提供了更多附着位点。结合表面理化性质改良,改性填料为硝化细菌等功能微生物的富集创造了更有利的界面环境。
(4)微生物群落分析表明,改性生物炭填料组显著促进了功能微生物的富集与多样性,其表面生物膜中关键脱氮菌群的相对丰度显著高于对照组。这些菌群共同构成了更高效的硝化与反硝化微生物群落,并从代谢通路上显示出更强的氮转化潜力,这是其优异脱氮性能的内在生物学机制。
综上,本研究开发的改性生物炭填料在提升污水处理硝化效率、增强系统抗DO波动能力方面表现出显著优势,为低碳节能型生物膜技术的发展提供了有潜力的材料选择与理论依据。
参考文献
[1]刘超, 彭彩霞, 郑小敏等. 关于市政给排水工程污水处理技术的思考 [J]. 中国水运, 2024, 24: 131-133.
[2]李宝春. 农村生活污水处理现状及生态型处理技术应用研究进展 [J]. 安徽农业科学, 2025, 53: 5-9.
[3]D. Arivukkarasu, R. Sathyanathan. A sustainable green solution to domestic sewage pollution: Optimizing floating wetland treatment with different plant combinations and growth media [J]. Water Cycle, 2024, 5: 185-198.
[4]贺达. 城镇污水处理工艺选择研究——以湘潭市XX污水厂为例 [J]. 价值工程, 2024, 43: 88-90.
[5]刘智晓, 吴凡松. 污水生化处理工艺发展阶段化技术特征及未来趋势 [J]. 给水排水, 2024, 60: 12-22.
[6]王森, 杜昆, 王伟平等. 改良A/O-垂直流人工湿地组合工艺深度处理畜禽养殖废水研究 [J]. 陕西科技大学学报, 2024, 42: 21-30+42.
[7]Y. P. Shi, T. Liu, X. Quan, et al. Enhanced nitrogen removal in the upgrading of municipal wastewater treatment plants by using zero-valent iron-modified biofilm carriers and clinoptilolite-modified biofilm carriers [J]. Chemical Engineering Journal, 2023, 477: 146948.
[8]崔小东, 石秀花, 付大业等. 市政污水处理与回用中生物膜技术的应用研究 [J]. 城市建设理论研究(电子版), 2024, 187-189.
[9]王伟. 基于生物膜技术的印染废水处理系统构建 [J]. 印染助剂, 2024, 41: 12-17.
[10]倪常彪, 刘一凡, 牛笑飞等. 膜生物反应器MBR耦合高级氧化法水污染处理研究进展与存在问题 [J]. 化工管理, 2025, 51: 15-22.
[11]马哲. 膜生物反应器(MBR)在污水处理中的应用与能耗控制 [J]. 化工管理, 2025, 43-46.
[12]张奕.不同种生物降解材料改性HDPE及其污水处理研究.[D].合肥工业大学.2023.
[13]皮林, 郦和生, 王珺. 生物填料在废水处理中的研究进展 [J]. 化工环保, 2023, 43: 25-29.
[14]李星雨, 李广, 余运湧等. 生物膜载体填料在废水处理中的应用研究进展 [J]. 煤炭与化工, 2023, 46: 156-160.
[15]张兵, 崔福义, 左金龙等. 斜发沸石对氨氮的去除效果及其再生试验研究 [J]. 中国给水排水, 2008, 24: 85-88.
[16]田家宇, 陈忠林, 梁恒等. 斜发沸石替代石英砂强化生物过滤除污染性能 [J]. 哈尔滨工业大学学报, 2008, 571-575.
[17]毛彦俊.亲电型与氧化还原介体型悬浮生物载体的制备及其在污水处理中的应用研究.[D].大连理工大学.2018.
[18]托梓硕.基于改性填料的IFAS系统脱氮性能及微生物特征研究.[D].内蒙古科技大学.2025.
[19]冯历, 胡筱敏, 田林锋等. 污水处理中NaHCO3对自养硝化菌富集效应影响的研究 [J]. 环境科学与管理, 2022, 47: 84-88.
[20]乔鑫, 王朝旭, 张峰等. 生物炭基好氧反硝化细菌固定及去除水中硝态氮 [J]. 水处理技术, 2020, 46: 37-44.
[21]黄永福. 污水处理过程中溶解氧浓度对好氧生物膜反应器性能影响的实验研究 [J]. 皮革制作与环保科技, 2024, 5: 7-9.
[22]邓朝霞.沸石-生物炭复合材料对水溶液中磷酸盐的吸附及再利用的实验研究.[D].贵州大学.2022.
[23]Tao Liu, Guangyue Jia, Xie Quan. Accelerated start-up and microbial community structures of simultaneous nitrification and denitrification using novel suspended carriers [J]. Journal of Chemical Technology and Biotechnology, 2018, 93(2): 577-584.
[24]Yanjun Mao, Xie Quan, Huimin Zhao, et al. Accelerated startup of moving bed biofilm process with novel electrophilic suspended biofilm carriers [J]. Chemical Engineering Journal, 2017, 315: 364-372.
